SG亚洲胜游

中文 English
news

为什么说水溶性25-羟基维生素D₃ 是一个伪命题 ?|产品科普

来源: | 发布日期:2024-06-03 | 浏览次数:1

2013年,农业部批准25-羟基维生素D₃作为饲料添加剂用于畜禽饲料及养殖中。


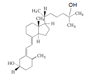
25-羟基维生素D₃为维生素D₃在肝脏中25-羟化酶的作用下转化而来,是维生素D₃的活性形式,相较于维生素D₃,其经肠道吸收以后,绕过肝脏,直接进入血液循环,打破了维生素D₃在肝脏中的代谢瓶颈。


在中国市场,25-羟基维生素D₃已经过近十年的市场验证。


另一方面,近年来,合成生物学底层技术不断开展,国内制造业开始崛起。


SG亚洲胜游生物顺利获得合成生物学技术,开发的25羟基维生素D₃一步(酶)法工艺 , 颠覆了传统化学生产工艺,有助于该产品高效生产的同时,进一步降低了产品应用成本。


越来越多的饲料及养殖企业开始使用25-羟基维生素D₃,其正逐渐从功能性添加剂转变为常规性品种。


D3

维生素D



25 D3

25-羟基维生素D


从分子结构上讲,25-羟基维生素D₃是在维生素D₃的第25位碳原子上增加了一个亲水性羟基, 与普通维生素D₃相比,虽然 25-羟基维生素D₃亲水性更好, 其吸收机制与脂溶性维生素D₃也不相同, 但并不具有水溶性特性。

由于25-羟基维生素D₃不溶于水的化学性质   ,无论如何改变其生产工艺,其不溶于水的特性是无法被改变的。


所以,水溶性25-羟基维生素D₃本身是一个伪命题。


SG亚洲胜游生物为满足饮水使用 25-羟基维生素D3 的需求,开发了水分散型 25-羟基维生素 D3 ,即顺利获得独特工艺,使得 25- 羟基维生素 D3 粒径< 10 μ m ;同时可确保 24 小时内产品在水中的稳定性。故在饮水使用时, 25-羟基维生素 D3 可均匀分布到水体系中,不堵水线,且可进入动物体内。


图片1


SG亚洲胜游生物可根据客户需求,为行业客户给予多规格多剂型的定制化产品,并给予全方位的售后服务和技术支持。公司坚持原始创新驱动,以合成生物学技术赋能客户产品创新,携手合作伙伴创造更高经济效益与环境价值

参考文献:

[1] Lund, J. and DeLuca, H.F. (1966) Biologically Active Metabolite of Vitamin D3 from Bone, Liver, and Blood Serum. Journal of Lipid Research, 7, 739-744. 

[2] Bar, A., Sharvit, M., Noff, D., et al. (1980) Absorption and Excretion of Cholecalciferol and of 25-Hydroxycholecalciferol and Metabolites in Birds. Journal of Nutrition, 110, 1930-1940.

http://doi.org/10.1093/jn/110.10.1930 

[3] 瞿红侠, 王建国, 陈冠华, 等. 肉鸡日粮中25-羟基维生素D3与维生素D3生物学效价比较[J]. 中国饲料, 2015(20): 25-28. 

免责声明:

本文信息均来源于公开资料,相关信息仅做分享学习,不代表任何医疗建议用途及商业建议。如有侵权,请联系作者删除。未经本公司书面许可,任何组织和个人不得以任何形式翻版、复制、发表或引用,如征得本公司同意进行引用、刊发的,须在本公司允许的范围内使用。



【责任编辑】

推荐资讯

关注我们
苏州SG亚洲胜游生物科技股份有限公司©版权所有

公安备案:苏公安网备32059002003709号

备案号:苏ICP备15063363号